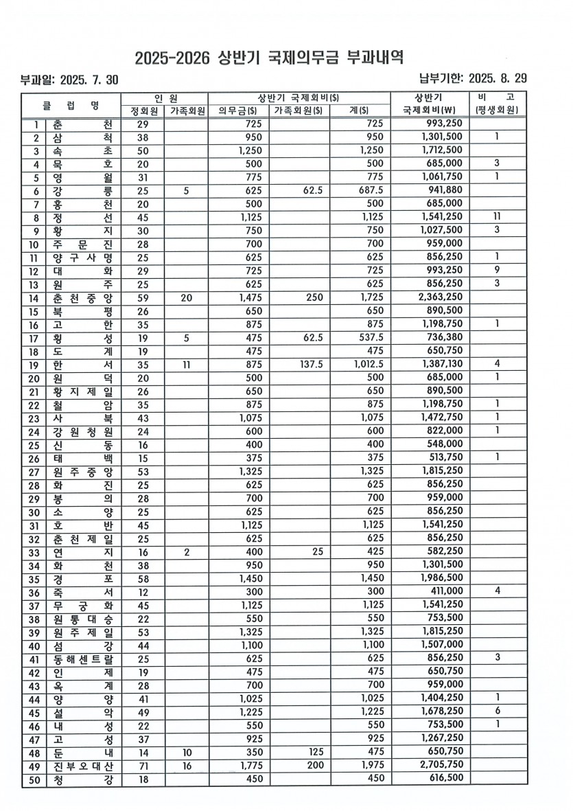
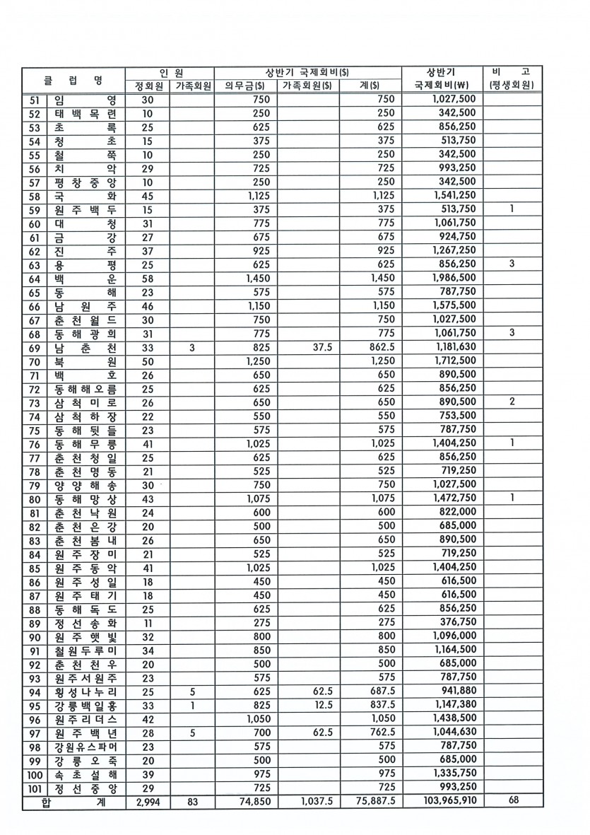
2025-2026 상반기 국제의무금 부과 통보 페이지 정보 작성자 최고관리자 댓글 0건 조회 1,801회 작성일 25-07-30 15:27 본문 목록 이전글2025-2026 1-4분기 클럽별 회비 내역 통보 25.07.30 다음글2025-2026 클럽4역 연수회 개최 25.07.14